Over the past decade, LHCb has steadily evolved from a detector primarily associated with heavy-flavour physics into a broader forward spectrometer able to address an increasingly diverse set of questions in Standard Model and beyond-the-Standard-Model physics. Two recent papers illustrate that evolution particularly well. One presents the first measurement by LHCb of top- and antitop-quark differential production cross-sections and of the top-quark charge asymmetry in the forward region, using 13 TeV proton–proton data corresponding to 5.4 fb−1. The other develops two machine-learning techniques for jet measurements at LHCb — a regression-based jet-energy calibration and a deep neural network for jet flavour tagging — and applies them to a search for inclusive Higgs-boson decays to bottom and charm quarks in 13 TeV data corresponding to 1.6 fb−1.
Taken together, the two studies tell a coherent story. They show that LHCb is not simply importing topics from the general-purpose detectors, but is learning how to exploit its distinctive forward acceptance to probe regions of phase space that are hard to access elsewhere, while using advanced reconstruction tools to overcome the experimental challenges posed by jets in a dense hadronic environment.
The top quark is the heaviest known elementary particle and a key player in the Standard Model, closely linked to electroweak symmetry breaking and Higgs interactions. At the LHC, top quarks are mostly produced in top–antitop pairs, with a smaller contribution from single-top production. What makes the LHCb measurement especially valuable is not simply that it measures top production again, but that it does so in the forward region, where one of the incoming partons typically carries a relatively large fraction of the proton momentum. In this kinematic domain, the measurement becomes particularly sensitive to the gluon parton distribution function at high Bjorken-x, where present constraints remain comparatively weak.
The analysis is performed in the μ+ plus b-tagged jet final state, with the muon coming from the decay of the W boson produced in the top decay. Within the fiducial region defined in the paper, LHCb measures integrated production cross-sections of σt = 0.95 ± 0.04 ± 0.08 ± 0.02 pb and σt̄ = 0.81 ± 0.03 ± 0.07 ± 0.02 pb, where the uncertainties are statistical, systematic and luminosity, respectively. The collaboration also measures an inclusive top-quark charge asymmetry of ACt = 0.08 ± 0.03 ± 0.01, consistent with next-to-leading-order Standard Model predictions.
Beyond the headline integrated values, the study provides differential cross-sections for top and antitop production as a function of muon pseudorapidity. These measurements are compared with NLO predictions from Powheg-BOX and MadGraph using different PDF sets, with good overall agreement. This gives the result broader importance: it is not only a test of top-quark production in a previously unexplored regime, but also an input for constraining proton structure and for refining theoretical descriptions in the forward region.
The charge-asymmetry result is especially interesting. At leading order, top-pair production is charge symmetric, but higher-order QCD effects induce a small asymmetry. In the central region of the LHC this effect is strongly diluted because gluon fusion dominates. In the forward region accessible to LHCb, that dilution is reduced, which enhances sensitivity to the asymmetry. The present measurement is still statistically limited, but it demonstrates that the observable is experimentally accessible at LHCb and opens the door to more precise studies with larger datasets.

Differential production cross-sections of top (left) and antitop (right) quarks as a function of the muon pseudorapidity in the LHCb forward region. The measurements are compared with next-to-leading-order Standard Model predictions using different generators and parton distribution functions. The results show good agreement with theory and highlight LHCb’s unique sensitivity to top-quark production at large rapidities.
If the top-quark paper shows what can already be done in the forward region, the second paper shows how LHCb is upgrading its toolkit for what comes next. The study develops two machine-learning methods aimed at improving jet measurements: a gradient-boosted regression method for jet-energy correction and a deep-neural-network flavour tagger that distinguishes between
b, c and light-parton jets using full jet-substructure information.
The regression method is designed to sharpen the dijet invariant-mass resolution, which is crucial in any search for resonances decaying to jets. Instead of relying only on the standard jet-energy correction, the regressor uses a broad set of jet features, including kinematics, jet composition, energy flow in angular rings around the jet axis, muon information, calorimeter deposits and event properties. In simulation, this produces a visibly improved dijet mass resolution compared with the standard correction procedure.
The flavour-tagging algorithm tackles another central problem: identifying whether a jet originated from a bottom quark, a charm quark or a light parton. Inspired by the DeepJet family of taggers, the LHCb network combines information from charged particles, neutral particles, reconstructed secondary vertices and jet-level global features. The paper shows that, at the same light-jet misidentification rate as the standard secondary-vertex-tagging approach, the new DNN improves the efficiency for tagging b-jets by more than 9% and for tagging c-jets by more than 20%, depending on jet transverse momentum.
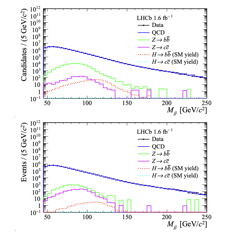
These tools are then deployed in a search for inclusive H → bb and H → cc decays in the dijet final state. This inclusive strategy is important: unlike earlier LHCb analyses that targeted associated production, it does not assume a specific Higgs production mechanism, which makes it potentially relevant for a broader class of Standard Model extensions. The price, however, is a formidable multijet QCD background, handled in the analysis through control regions and a data-driven transfer-function approach.

Dijet invariant-mass distributions in the LHCb forward region for the searches for H → bb and H → cc (bottom). The data are compared with the dominant QCD background and with the expected contributions from Z-boson and Higgs-boson decays. The small expected Higgs signal, shown for the Standard Model yield, illustrates the challenge of isolating heavy-quark decays in a high-background environment.
No significant Higgs signal is observed in the 2016 dataset, but the analysis sets the first limits in this topology at LHCb with the new machine-learning methods in place. The observed (expected) 95% confidence level upper limit is 6.64 (11.1) times the Standard Model cross-section for H → bb, and 1003 (1834) times the Standard Model cross-section for H → cc. In other words, the result is not yet about claiming a Higgs signal, but about proving that LHCb can now deploy modern AI-based jet reconstruction and flavour identification in a fully fledged hadron-collider search.
What makes the two papers especially compelling when read together is that they are not isolated achievements. They point to the emergence of a coherent forward programme in top and Higgs physics, built on the same reconstruction philosophy. The top analysis already relies on a dedicated deep-neural-network b-tagging classifier, while the Higgs analysis pushes further by introducing improved energy calibration and multi-class flavour tagging. The same technical advances that make inclusive Higgs searches more realistic will also feed into future measurements of top production and into other analyses involving heavy-flavour jets.
More broadly, these studies highlight a strategic transformation at LHCb. The experiment is no longer defined only by its original flavour mission, even if that remains central. It is also becoming a precision instrument for forward QCD, electroweak and Higgs-sector studies, exploiting a part of phase space that complements the central detectors rather than competing with them directly. In that sense, the significance of the new results lies as much in method as in immediate physics reach.
For the EP community, this is an important reminder that progress does not come only from larger datasets or higher collision energies. It also comes from better reconstruction, more sophisticated tagging, tighter control of backgrounds and a willingness to revisit what an experiment can do when equipped with new tools. In the forward region of the LHC, LHCb is showing that artificial intelligence is not merely an add-on to analysis, but an enabling technology that is helping the experiment address some of the field’s most fundamental questions — from the proton structure encoded in top production to the couplings of the Higgs boson to heavy quarks.
Further information on the above results can be found in the LHCb top and Higgs papers.