The masses of particles are some of the fundamental parameters of nature, and their precise measurement remains a key experimental challenge. However, when propagating through a medium, environmental effects can change the effective mass of a particle, leading to interesting phenomenology. One Standard Model (SM) example of this occurs when photons propagate through a charged plasma, then they acquire an effective mass, proportional to the charge density, which means that electromagnetic interactions are screened beyond the Debye length, which is inversely proportional to the effective mass.
New particles, beyond the Standard Model, can also acquire effective masses that depend on their environment. We considered new, light scalar fields which couple universally to other matter fields. The coupling to matter means that the scalar mediates a fifth-force but, alongside a suitably chosen potential, it can also mean that the scalar mass receives an additional contribution which is a function of the local mass density. In this way the scalar mass is large in high density environments (and the fifth force is short range) and the scalar mass is small in diffuse environments (and the fifth force is long range).
To date, new light scalars with environmentally dependent masses have largely been studied in the context of models of dark energy, where they are known as chameleons because of their ability to adjust their properties as their environment changes in order to evade detection. Cosmologically light scalars are often introduced either directly to explain the accelerated expansion of the universe as quintessence fields, or as indirect consequences of attempts to solve the cosmological constant problem, for example by modifying gravity. In the case of a modification of gravity the scalar field may not directly drive the accelerated expansion, but is a secondary consequence of the mechanism which explains why the universe is accelerating at its current rate. Attempts to explain the observed value of the universe’s acceleration mix large energy scales (for example the Planck scale controlling gravitational interactions) and small energy scales (for example the Hubble constant H0), often in non-linear ways. This means that the effects of this new physics are not restricted to live at the Planck scale, but could instead lie just beyond the reach of our current experiments.

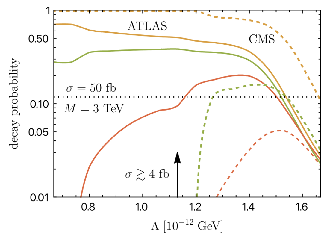
Figure 1: Comparison of a representative phenomenological outcome that is allowed by existing LHC parameter constraints. The decay probability refers to decays in the tracker (orange), the electromagnetic calorimeter (green) and the hadronic calorimeter (red). Shown is the comparison of ATLAS (solid) and CMS (dashed). The dotted line and arrow correspond to a production cross-section times decay probability of 50 fb and 4 fb respectively.
Such theories often couple the light scalar to other matter fields conformally, that is through a rescaling of the metric of the theory which depends on the scalar field. It was shown, by Burrage, Copeland, Millington and Spannowsky [1], that such theories can be equivalently written as Higgs portal models, where the scalar couples only to the Higgs field, and does not talk directly to any of the other Standard Model fields. This happens because the Higgs mass is the only fixed mass scale in the Standard Model (other fundamental particle masses then emerge dynamically from the symmetry breaking of the Higgs and its Yukawa couplings and through quantum effects). Written in this form, it is possible to compute the probability of producing such a scalar particle in collisions at the LHC as well as the probability that it will decay. In this context, we might be tempted to ask the question what the current high-energy frontier of the Large Hadron Collider can add to the search for such states.
The multi-purpose detectors of the ATLAS and CMS experiments have been constructed with different design philosophies in mind; and as a result the density profiles of the two detectors differ significantly. In particular, the electromagnetic calorimeter in CMS is comparatively thin and dense, whereas in ATLAS the electromagnetic calorimeter is much wider. Any environmental dependence of the aforementioned interactions is therefore likely to create diverging phenomenological results. Such signatures could potentially be dismissed as anomalies in the comparison of ATLAS and CMS results as results do not follow phenomenological benchmarks of long-lived particle searches or searches for heavily ionizing signatures.
We exploit the link of these dark energy-inspired states with the Higgs boson [2] to motivate the production of environmentally dependent states in association with Z bosons, which are the standard candles of SM physics. As such, the events are recorded by both experiments and signature related to the environmentally-triggered decay can, in principle, be added to searches for Drell-Yan production at the LHC. A representative outcome of such a search, and how such interactions naturally exploit the complementary detector designs of ATLAS and CMS is displayed in figure 1. As shown in Figure 1, a parameter choice that is consistent with current LHC physics constraints, leads to displaced decays in various components of the LHC detectors, with significant cross-sections times decay probabilities that could be probed by ATLAS and CMS. Moreover, the decay probabilities and therefore the dominant experimental signature is different between ATLAS and CMS, due to the different density and size of their detector components. This not only differentiates this currently unconsidered BSM signature from other models, but also provides a unique opportunity to exploit the structural differences between ATLAS and CMS.
Covering cross sections in leptonic Z boson decays, the figure captures cross sections of displaced decays of >4 fb. In particular we see the interesting situation where a new particle is likely to decay, with a sizeable ~50 fb cross section, in the hadronic calorimeter in ATLAS, but in the CMS detector decays with a similar cross section would instead be seen in the electromagnetic calorimeter. This highlights a currently unconsidered BSM signature, of long lived particles decaying in a predictably different way in the two detectors. Such a search for new physics would directly benefit from the structural differences in the two experiments.
Ref. [2] shows, in a proof of principle analysis, that cosmologically relevant scalars can be sizeably produced at the LHC, decaying within the detectors with probabilities correlated with the detector design. Further work, in particular related to the modelling of decays in the respective detector regions is required to understand whether the idealised discussion of [2] carries over into a realistic experimental setup, but [2] certainly motivates a new avenue for signature-driven BSM analyses.
[1] Fifth forces, Higgs portals and broken scale invariance. Clare Burrage, Edmund J. Copeland, Peter Millington, Michael Spannowsky. JCAP 11 (2018) 036. arXiv:1804.07180 [hep-th]
[2] Environmentally aware displaced vertices. Spyros Argyropoulos, Clare Burrage, Christoph Englert. arXiv:2304.08118 [hep-ph]