Within the strategic EP R&D programme [1], WP2 covers developments of gaseous detector technologies for addressing the challenging needs of future experiments. The main research lines within WP2 cover the following activities:
New detection concepts and structures suitable for large-area gaseous detector systems are explored with a focus on MPGD-based detectors. In the realm of precise timing, the primary research line involves the PICOSEC Micromegas detector, targeting tens of picosecond timing resolution.
Resistive materials are of interest to improve detector stability and enable new geometries that would otherwise be too unstable during the detector operation. Comparative studies of resistive detectors with a single amplification stage (2D resistive Micromegas and 2D μRWELL). The newly installed magnetron sputtering machine at the EP-DT MicroPattern Technologies (MPT) workshop is exploited to explore resistive materials and thin film coatings.
Fine-pitch Gas Electron Multipliers (GEMs) were characterised given high-performance tracking systems with high gain and improved spatial resolution. The anticipated improvement in position resolution was confirmed in triple GEM detectors with three finer 90 μm pitch foils compared to the standard 140 μm pitch [2].
Driven by applications where high multiplicities are expected and where it is important to avoid a large increase of readout channels, a novel vias-free three-coordinate XYU readout plane for GEM detectors as shown in Figure 1 was manufactured and characterized in test beam conditions [3].

Figure 1: Left: Three-coordinate XYU readout plane manufactured at MPT workshop. Right: Multi-hit event from overlaying nine single-point measured events to illustrate possible pileup mitigation with three readout coordinates.
The PICOSEC Micromegas (MM) project aims at tens of ps timing resolution for Minimum Ionising Particles (MIPs) with gaseous detectors to meet the needs of future 4D tracking detectors and enable pileup mitigation. The detection concept combines a Cherenkov radiator with a semi-transparent photocathode for a synchronous production of primary electrons to mitigate time jitter and Micromegas-based signal amplification as shown in Figure 2 [4]. R&D activities on the precise timing PICOSEC MM gaseous detectors cover simulations and design, production and assembly as well as measurements in laboratory conditions as well as during RD51 and DRD1 test beam campaigns [5, 6].

Figure 2: Left: Schematic of precise timing detection concept. Center: Picosec Micromegas with an active area of 10x10 cm2.Right: Test beam setup with SAMPIC WTDC for characterizing timing performance of tileable module prototypes.
The key objective is to develop a robust multichannel detector module suitable for tiling to instrument large detection areas. 100 channel prototype modules with an active area of 10x10 cm2 were developed as shown in Figure 2 and characterised in test beam campaigns. Timing performance better than 20 ps for signals fully contained within readout pads was demonstrated. Scalable readout solutions based on custom developed preamplifiers and SAMPIC waveform digitisers were adapted. Inspired by the LHCb RICH activities of WP3, the readout of the PICOSEC MM detectors with the FastIC front-end ASIC [7] from the EP-ESE-ME group and the University of Barcelona was investigated and a time resolution of around 50 ps was reached.
R&D framework and tools
The following activities support studies and tools that are fundamental for detector R&D, including gas studies, modelling and simulation, and electronics.
As part of CERN’s initiatives to reduce greenhouse gas (GHG) emissions from particle detectors, ongoing studies are exploring alternatives to replace and diminish the use of C2H2F4 (R-134a) and SF6 in RPC detectors. Research related to the addition of CO2 to mitigate R-134a consumption is ongoing [8]. It has been observed that, although the prompt charge distribution can be recovered by increasing the percentage of SF6, a higher amount of SF6 leads to elevated detector background currents (15% to 20%).
Due to the high Global Warming Potential (GWP) of SF6 and its potential impact on the long-term operation of the detector, alternative gases, such as Novec 4710 and R-1224YD, are under investigation based on safety and performance considerations. Among various possibilities, a gas mixture comprising 64% R-134a, 30% CO2, 5% isobutane, and 1% SF6 has been selected for aging studies at GIF++. This mixture has been chosen for the ATLAS RPC system.
The study of R-134a consumption reduction involved adding non-fluorinated gases to the mixture. Among the various gases tested (O2, Ne, CO2, N2, He, N2O, Ar), CO2 has been identified as the most suitable candidate. For these mixtures, the amount of SF6 has been increased to 1% to reduce the formation of streamers.
For long-term strategies on GHG reduction, the Gas Team is participating in ageing tests at the GIF++ facility with the ECOGAS Collaboration. A 2 mm gas gap bakelite RPC was irradiated with the so-called ECO2 gas mixture (35% HFO1234ze, 60% CO2, 4% iC4H10, 1% SF6) and ECO3 (25% HFO1234ze, 69% CO2, 5% iC4H10, 1% SF6) gas mixture and efficiency and streamer probability are shown in Figure 3.

Figure 3: Efficiency (continuous line) and streamer probability (dotted line) for standard, ECO2 and ECO3 gas mixtures after one year of irradiation (accumulated charge: 106 mC/cm2 from June 2023 to June 2024).
The reduction of greenhouse gas usage is also important for small set-ups and prototype studies. A new micro recirculation gas system has been developed as shown in Figure 4.

Figure 4: Micro Recirculating Loop: Left: Piping and Instrumentation Diagram of the micro-recirculating loop. Right: micro-recirculation system installed at the Science Gateway.
Given the widespread use of Garfield and Garfield++ for exploring new designs and optimizations and improving our understanding of the physics underpinning particle detectors, it is prudent to reflect the progress in detector technologies in the simulation capability of these tools.
One such case is that of the introduction of resistive materials into the readout architecture. Alongside the option to mitigate the destructive capabilities of violent discharges, resulting in increased operational stability, these materials can be employed for improving the performance of devices by making use of time-dependent reactions, which is reflected in the formation of the signal on readout electrodes. A numerical method has been worked out that allows the application of the extended form of the Ramo-Shockley theorem for conductive media to arbitrary designs [9]. This was pursued with Garfield++ for modeling the detector response and a finite element solver (COMSOL) for the required time-dependent weighting potentials.
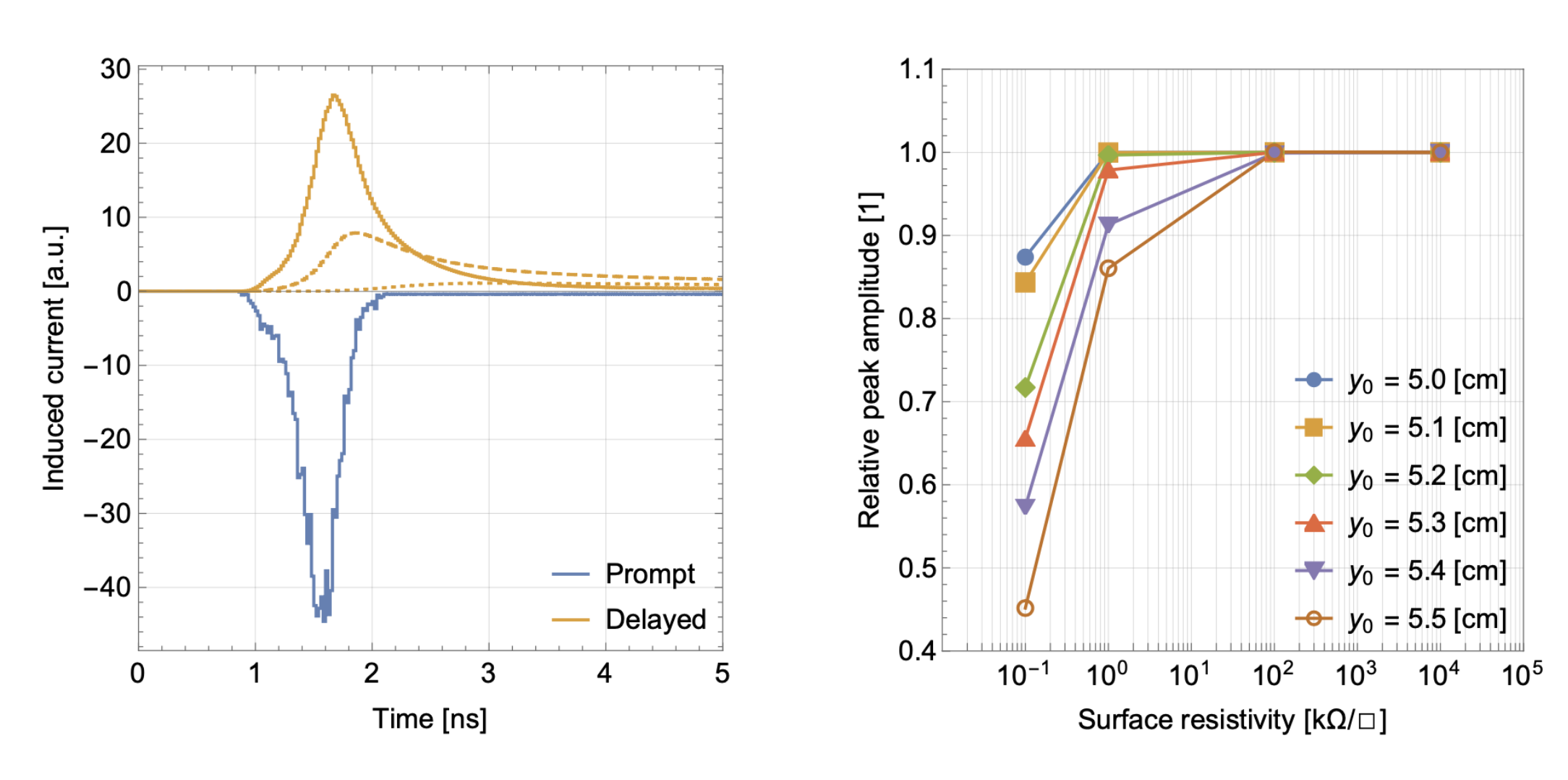
Signal induction for novel readout structures currently explored in Resistive Silicon Detectors (RSDs) were investigated, which can be used to probe the performance of proposed layouts. In these models, aspects such as signal coupling and non-uniformity of the surface resistivities can be implemented using previously explored methods to increase the accuracy of the macroscopic predictions. Figure 5 shows the prompt and delayed components of the signal plotted for different surface resistivities R (left panel) and the estimated current pulse height reduction from the reaction of the resistive materials (right panel).

Figure 5: Left: The prompt and delayed components of the induced signal on a readout pad. Delayed components are calculated for R = 100 Ω/□ (full line), R = 1 kΩ/□ (dashed line), and R = 100 kΩ/□ (dotted line). Right: The relative current peak amplitude (prompt plus delayed) as a function of the surface resistivity for showing the limited contribution of the delayed signal above R = 100 kΩ/□.
The developed simulation methods will be applied to new detector designs for signal coupling optimisation. While Garfield++ is predominantly used for studying MPGDs, it also supports the simulation of solid-state sensors such as silicon-based detectors. However, its functionality requires specific expansion to model Single Photon Avalanche Diodes (SPADs) image sensors and Silicon Photomultipliers (SiPMs). Preliminary results using macroscopic electron-hole pair tracking successfully reproduce the average avalanche growth and detection efficiency in the proportional regime. The simulation methods currently used need to be extended for devices operated in breakdown mode. Therefore, accurately describing the later-time dynamics of avalanches requires accounting for mechanisms that modify the field. As a first step, an electrical circuit model that includes the quenching resistor responsible for quenching the field was incorporated in the simulation.
The RD51/DRD1 Scalable Readout System (SRS) integrated with the BNL/ATLAS VMM3a FE ASIC has been used to comprehensively characterize new prototypes and detectors, including those presented above. The novel electronics enabled measurements such as resolving X-ray fluorescence within the detector, electron drift velocity measurements and high-rate radiography with an acquisition rate of 1.5 MHz, as shown in Figure 6.

Figure 6: Left: electron drift velocity determined from resolved Argon fluorescence interactions. Right: X-ray image of the GDD bat, acquired with 1.5 MHz interaction and acquisition rate. [10].
A beam telescope based on the VMM3a/SRS beam telescope was commissioned with a focus on the system’s stability and reliability. This was also demonstrated during the operation of the beam telescope as part of the NA61/SHINE experiment enabled by the successful synchronization of two different DAQ systems [11]. The beam telescope allows to characterize particle detectors simultaneously in energy, space and time, with spatial resolutions of around 50 μm from the tracking detectors and time resolutions of better than 2 ns of the electronics.
To leverage the capabilities offered by the VMM3a Front-End (FE) ASICs, a study on the readout of a Time Projection Chamber (TPC) has been conducted. Specifically, a GEM-TPC composed of two aligned TPCs with inverted drift fields, known as the twin configuration, was read out. Utilizing the time resolution of the ASIC, along with its trigger-less and continuous acquisition capabilities, the ability to reconstruct tracks in a TPC has been demonstrated, highlighting the advantages of the twin configuration as a t0-less TPC. An example of the reconstructed beam profile without using any external t0 is illustrated in Figure 7 [12].

Figure 7: Left: GEM-based twin-TPC design (from F. Garcia et al.: https://doi.org/10.1016/j.nima.2017.11.088) Right: Beam profile reconstructed without external t0 reference.
Novel technologies
Interaction in the gas often poses a limitation in terms of achievable performance. A notable example is evident in the PICOSEC Micromegas, where the use of a photocathode offers a three-order-of-magnitude improvement in time resolution. Within this project, WP2 focuses on UV photocathodes and the exploration of robust alternatives to CsI. The possibility of depositing photocathodes at the CERN MPT workshop using the magneto sputtering machine, capable of depositing carbon-based photocathodes like DLC and B4C, enables systematic optimizations of photocathodes. In addition, mono, double and triple graphene layers were evaluated as protective layers for photocathodes. Compared to uncoated metallic photocathodes, a decrease of the number of emitted photoelectrons of about one third was observed with a monolayer graphene coating. Time resolution values better than 40ps were recorded with a single graphene layer which could offer a protective effect against environmental factors.
The optical readout of scintillation light emitted during avalanche amplification with pixelated imaging sensors can be used for high-granularity detector readout as shown in Figure 8. Additionally, it is a valuable tool for detector development, as it allows to visualize the spatial profile of avalanche multiplication. Optical readout can be used for 3D track reconstruction (e.g. MIGDAL low-pressure TPC with hybrid optical and electronic readout) when combined with auxiliary depth information from fast detectors.

Figure 8: Radiation imaging of different events with optically read-out GEM-based detectors.
Due to their strong visible light emission, scintillation light readout is mostly conducted with CF4-based gas mixtures. In low-pressure applications and in the presence of additional admixtures, scintillation spectra can be strongly affected, and the visible scintillation emission can be suppressed, as shown in Figure 9. In view of identifying possible alternative gas mixtures for optically read-out MPGDs, scintillation light emission spectra in with different admixtures were compared and the effect of wavelength shifters on the achievable spatial resolution was quantified [13].

Figure 9: Secondary scintillation spectra of CF4 for different gas pressures.
Combining high-granularity hybrid pixel ASICs, as for example the Timepix4 with its 55 μm square pixel pitch, with a micro-patterned gaseous amplification stage can enable high detection sensitivity and resolution. Examples are rare-event searches as well as the detection of low-energetic (polarised) X-rays (< 2 keV) with an event selection purely based on the event geometry. The activities on the pixelated charge readout of gaseous detectors are a joint project between the EP-DT GDD team, the EP-ESE Timepix team, the MPT workshop and HSE-RP Dosimetry team.
As a first step a triple-GEM detector is readout with a Timepix4 (the so-called ‘GEMPix4’), which is an evolution of the existing GEMPix technology [14] that utilised the Timepix and the Timepix3 ASICs. As a second step, micro-pattern and PCB techniques will be used to integrate the pixel ASIC with an μRWELL amplification stage into a hybrid detector as shown in Figure 10. [15]

Figure 10: Left: Cross-sectional schematic of embedding a TSV-Timepix4 within a μRWELL. Right: Mechanical embedding test of Timepix4 ASIC in polyimide foils.
Additive manufacturing and alternative manufacturing approaches offer large potential for rapid detector prototyping and fabricating structures that are not accessible with conventional methods. For feasibility studies, different Thick Gas Electron Multiplier (THGEM) geometries (holes with 300 to 600 μm diameter, 400 μm thick structure) have been 3D printed with a commercial multi-material inkjet 3D printer from Nano Dimension Ltd [16]. First prototypes were limited by printing defects such as a misalignment between conductive and insulating structures, causing discharges to appear at low voltages. Technological advances have since improved the printing quality and allowed for a better alignment between the materials. New prototype structures as shown in Fig. 11 were tested demonstrating gains of around 100 and incorporating internal electrodes for electric field shaping.

The potential of nanomaterials to enhance the performance of MPGDs is being investigated, including potential improvements in spatial resolution and resistance to ion bombardment. Within the family of low-dimensional materials, graphene is the most promising candidate due to its mechanical properties, low gas permeability, and electron transparency. A wet transfer procedure for graphene has been optimized and implemented in a cleanroom environment. Successful transfers of bilayers and trilayers, with a 90% yield of covered holes, have been accomplished. However, high coverage yield with monolayer graphene remains challenging. Preliminary assessments at CERN, utilizing dedicated samples in an ultra-high vacuum (UHV) chamber, were conducted to evaluate the transparency of suspended graphene layers to low-energy electrons (0-100 eV).
Summary
Gas-based detectors continue to be strategic technologies in particle physics experiments owing to the diversity of applications and the versatility of available technological solutions. Performances are continuously improving due to a worldwide community committed to gaseous detector R&D. The achieved and foreseen resolutions in energy, space, and time, the high sustainable interaction rates, their radiation hardness and wide dynamic range deriving from the amplification attainable in gas, the operation in the presence of magnetic fields as well as the possibility of developing low-mass detectors and instrumenting large areas at affordable cost with reasonably easy-to-build solutions make them a competitive option for future experiments. Hybrid solutions within gas-based technologies and beyond, including silicon-based devices for the charge- or photon-readout, offer innovative solutions and approaches that can advance detection capabilities.
References
[1] C. Joram et al., “Extension of the R&D Programme on Technologies for Future Experiments”,
[2] K.J. Flöthner et al., “Spatial resolution improvements with finer-pitch GEMs” 2024 JINST 19 P07027
[3] K.J. Flöthner et al., “The novel XYU-GEM to resolve ambiguities” 2023 JINST 18 C06025
[4] J. Bortfeldt et. al. (RD51-PICOSEC collaboration), NIM A (903), 2018,
[5] M. Lisowska et al. “Photocathode characterization for robust PICOSEC Micromegas precise-timing detectors”. In: NIM A 1072 (2025), p. 170151. doi: https://doi.org/10.1016/j.nima.2024.170151
[6] M. Lisowska. “Exploring the potential of Micro-Pattern Gaseous Detectors tech- nologies in High Energy Physics applications and beyond”. Presented 25 Sep 2024. PhD dissertation, Universit ́e Paris-Saclay, Paris, 2024.
[7] L. Scharenberg, “Fast timing and high-granularity readout of MPGDs: FastIC and Timepix4”, RD51 collaboration meeting, 2023,
[8] G. Rigoletti et al., “Performance studies of RPC detectors operated with C2H2F4 and CO2 gas mixtures” NIM A Volume 1049, April 2023, 168088
[9] D. Janssens. “Resistive electrodes and particle detectors: Modelling and measurements of novel detector structures”. Presented 26 Feb 2024. Vrije U., Brussels, 2024.
[10] L. Scharenberg, “Next-Generation Electronics for the Read-Out of Micro-Pattern Gaseous Detectors”, PhD thesis, 2023.
[11] L. Scharenberg. “Latest results and improvements of the RD51 VMM3a/SRS gaseous beam telescope”. In: 12th Beam Telescope and Test Beams Workshop, 17 April 2024.
[12] K.J. Flöthner et al., “Application of the VMM3a/SRS: A t0-less TWIN GEM-based TPC”
[13] F. Brunbauer. “Wavelength shifters for optically read out MPGDs”. In: MPGD2024, October 15, 2024.
[14] F. Murtas. “The GEMPix detector”. In: Radiat. Meas. 138 (2020), p. 106421.
[15] L. Scharenberg et al. “Towards MPGDs with embedded pixel ASICs”. In: Submitted to Journal of Instrumentation.
[16] F.M. Brunbauer et al 2019 JINST 14 P12005