“What is that which always is and has no becoming, and what is that which becomes and never is?”
— Plato, Timaeus 27d–28a
It may sound like pure philosophy, yet for physicists it speaks to one of the most profound mysteries in physics: the matter–antimatter asymmetry of the Universe.
According to cosmological models, equal amounts of matter and antimatter should have been created during the early moments of the Universe [1]. However, our Universe is predominantly composed of matter, with very little antimatter present. This raises the question: Where did all the antimatter go?
If there were equal amounts of matter and antimatter, they should have annihilated each other upon contact, leaving behind a Universe filled with radiation and no matter. Yet, the observed Universe is rich in matter from which stars, planets, and ultimately life arise.
This suggests that there must be some mechanism that favoured the production or survival of matter over antimatter in the early Universe. To explain this imbalance, we need something called CP violation—a phenomenon where the laws of physics treat matter and antimatter differently.
‘CP’ stands for Charge Parity, which is a symmetry transformation that combines charge conjugation (C) and the parity transformation (P). Charge conjugation changes a particle into its antiparticle, while parity transformation involves flipping the spatial coordinates (like looking in a mirror). If a process violates the CP symmetry, the particles and their corresponding antiparticles behave differently. Such violations are crucial for explaining the matter–antimatter asymmetry in the Universe.
In fact, the Standard Model, which is the prevailing theory in particle physics, does predict some level of CP violation. These violations are built into the Standard Model of particle physics via the complex phases of the Cabibbo–Kobayashi–Maskawa (CKM) matrix, which describes how quarks transform into each other through the weak force [3].
But here is the catch: the amount of CP violation predicted by the Standard Model is not sufficient to account for the observed matter–antimatter asymmetry in the Universe. This suggests that there may be additional sources of CP violation beyond what is currently understood, potentially pointing to new physics beyond the Standard Model [2]. CP violation has been observed before in particles called mesons (which are made of one quark and one antiquark), but never conclusively in baryons, the heavier particles made of three quarks like protons and neutrons, until today.
Now, the LHCb collaboration at CERN has reported the first observation of CP violation in decays of the Λ0b baryon [4]. The Λ0b baryon is a heavy and short-lived cousin of the proton consisting of three quarks: an up quark, a down quark, and a bottom quark. It belongs to the baryon family, which decays via weak interactions. Studying these interactions is crucial for understanding the fundamental forces of nature and the behaviour of matter under extreme conditions.
At the LHC, beauty baryons and their antimatter counterparts are produced in great numbers, and the LHCb detector is built to analyse them. In a recent analysis, the LHCb collaboration studied the decays of Λb0 baryons to specific final states. By comparing the decay rates of Λb0 and its antimatter twin Λb0, the researchers extracted the CP asymmetry, ACP. The measured difference of 2.45% with a total uncertainty of about 0.47% differs from zero by 5.2 standard deviations, indicating the first observation of CP violation in baryon decays. The observed CP asymmetry originates from the interference between the two decay amplitudes shown in Fig. 1. The loop amplitude carries complex CKM phases absent in the tree-level contribution; their interference can therefore lead to different rates for baryons and antibaryons, manifesting as the measured 2.45% asymmetry.

Figure 1: Leading diagrams that contribute to the Λb → pK−π+π− decays. The left (right) is for the tree (loop) diagram.
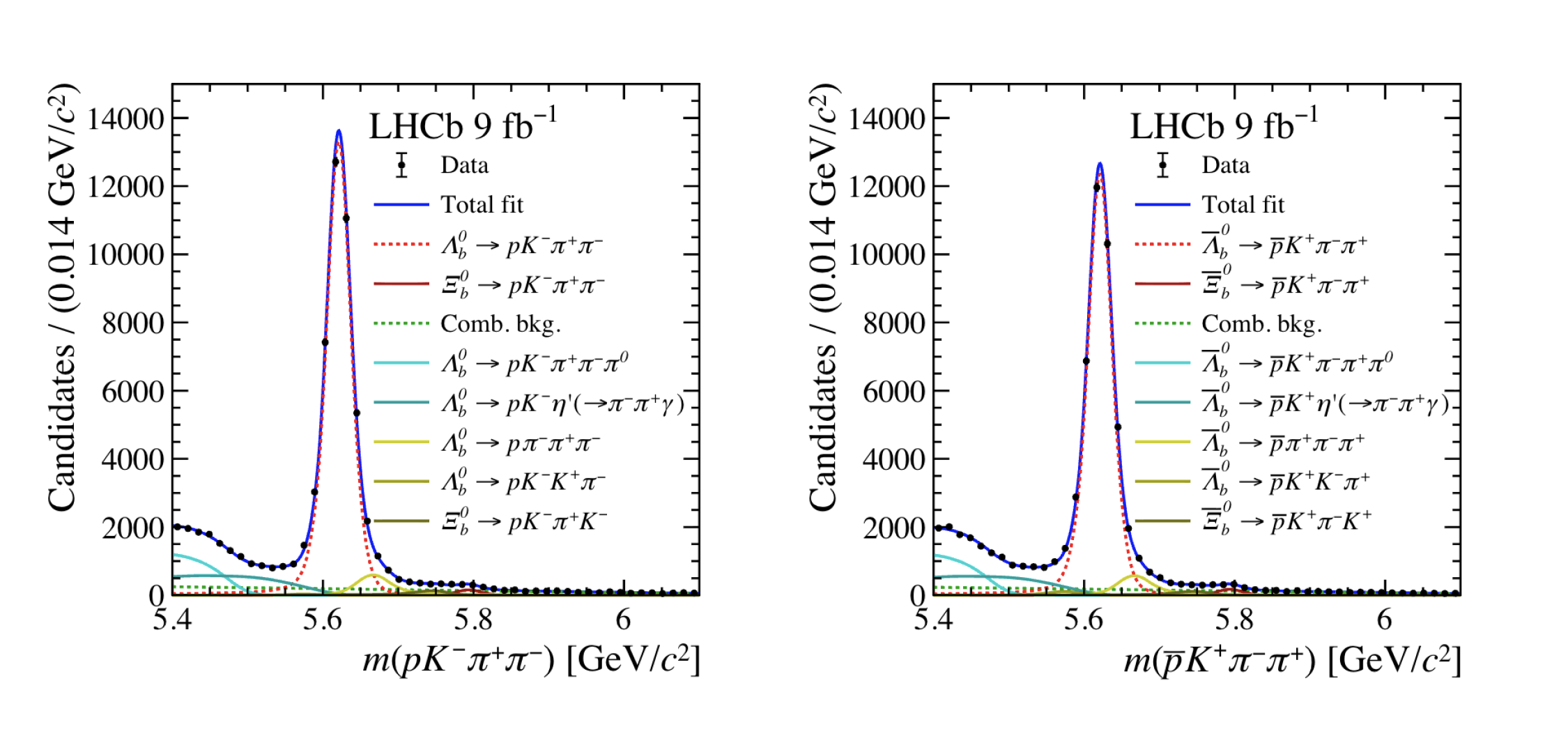
Detecting such a small effect required analysing billions of proton–proton collisions recorded at the LHC over nearly a decade. The LHCb detector, with its excellent tracking and particle-identification capabilities, makes it possible to reconstruct the decays of Λ0b baryons and their antiparticles.The corresponding yields are extracted from invariant mass distributions, as shown in Fig. 2, which display clear peaks at the masses Λb0 and Λb0 above the residual backgrounds.

Figure 2: Invariant mass distributions for Λb0 → pK−π+π− (left) and Λb0 → pK+π−π+ (right) decays. The clear peaks above background allow extraction of particle yields for CP asymmetry measurement.
However, these initial matter–antimatter yields are affected by several experimental biases, including slight production differences intrinsic to proton–proton (pp) collisions and detection asymmetries due to particles interacting with the detector material. To correct for these, LHCb uses a reference (control) channel, Λ0b → Λ+cπ− with Λ+c → pK−π+, for which no significant CP violation is expected. Comparing the asymmetries in the signal and control channels cancels the systematic effects, ensuring that the observed 2.45% asymmetry arises from genuine CP violation rather than experimental artefacts.
The discovery of CP violation in baryons is not just a milestone in particle physics; it has profound implications for our understanding of the Universe. The matter we see around us is all made up of baryons, primarily protons and neutrons. This result offers stringent tests for understanding CP-violating mechanisms in complex decays. It paves the way for studies of CP violation in other baryonic systems and for searches for additional CP-violating effects that may explain the Universe’s matter–antimatter asymmetry. As the LHC prepares for its upgrade to High-Luminosity LHC, with upgraded detectors and even larger datasets, the study of baryons will become one of the key frontiers in particle physics. The imbalance between matter and antimatter is one of the great cosmic mysteries — and now, with the insights gained from the LHC, we are beginning to see the fingerprints of that asymmetry in the decays of fundamental particles. Each discovery, like the observation of CP violation in Λ0b baryons, brings us closer to a coherent picture of why the Universe favoured matter over antimatter, and thus made our existence possible.
References
[1] Planck Collaboration, Planck 2018 results. VI. Cosmological parameters. Astronomy & Astrophysics, 641, A6 (2020). Erratum: 652, C4 (2021).
[2] Michael Dine and Alexander Kusenko, Origin of the matter-antimatter asymmetry, Reviews of Modern Physics, 76(1):1–30 (2003).
[3] Makoto Kobayashi and Toshihide Maskawa, CP-Violation in the Renormalizable Theory of Weak Interaction, Progress of Theoretical Physics, Volume 49, Issue 2, February 1973, Pages 652–657.
[4] LHCb Collaboration, Observation of charge–parity symmetry breaking in baryon decays. Nature 643, 1223–1228 (2025).